![]() |
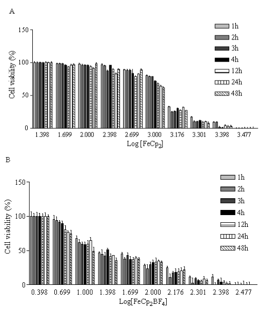
| Figure 3: Effect of FeCp2 and FeCp2BF4 on MCF7 cells viability determined by calcein accumulation. MCF7 cells were exposed to (A) FeCp2 and (B) FeCp2BF4, at different concentrations during 1, 2, 3, 4, 12, 24 and 48 h. Each point represents mean value + SD, with a number of replicates, n = 3 (p < 0.05). |