![]() |
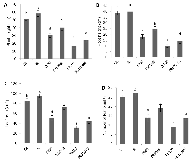
| Figure 1: Effect of different concentrations of lead (Pb) (0, 50 and 100) and silicon (0 and 1 mM) on plant height (A), root length (B), leaf area (C), number of leaf per plant-1(D) in cotton plants. Values show the means of three replicate ± SE. Means followed by same small letters are not significant different at P≤0.05 by using the Tukey test. |