![]() |
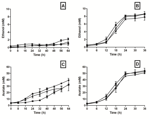
| Figure 3: C. ljungdahlii production of (A) ethanol and (C) acetate in syngas reactors and (B) ethanol and (D) acetate in syngas-fructose reactors inoculated with cells pre-adapted on fructose (circles), syngas-fructose (squares), and syngas (triangles). |