![]() |
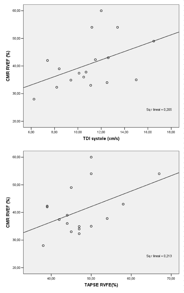
| Figure 1: Dispersion diagram for TDI systole vs. CMR RVEF and TAPSE vs. CMR RVEF showing an R squared value of 0.205 and 0.213 respectively. TDI: Tissue Doppler Imaging; CMR: Cardiac Magnetic Resonance; TAPSE: Tricuspid Annular Plane Systolic Excursion; RVEF: Right Ventricular Ejection Fraction. |