![]()  | 
  
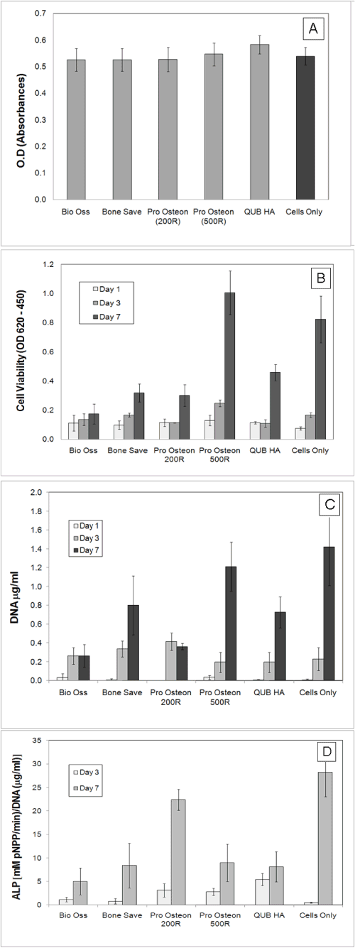
| Figure 4: Biological Evaluation (a) LDH Cytotoxicity Assay (b) Optical density measurements for XTT cell viability assay as a function of time (c) Cell proliferation assay incubated at 33°C and (d) ALP Activity normalized to DNA (Picogreen Assay) at 39°C. |