![]() |
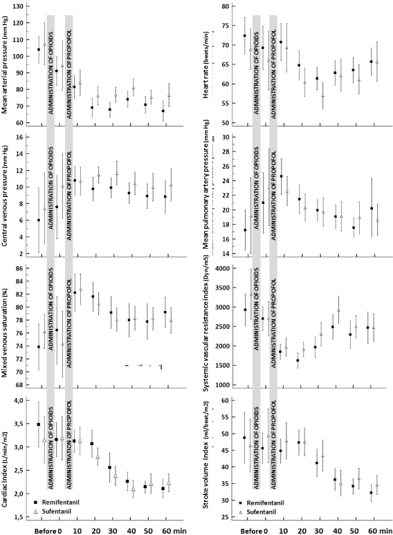
| Figure 2: Invasive haemodynamic baseline values the first 60 minutes after infusion of propofol divided into treatment groups. All parameters, except central venous pressure and mixed venous saturation declined statistically significant over time (P<0.001, 2-way ANOVA). Patients receiving remifentanil had lower mean arterial pressure, P<0.001, central venous pressure, P=0.003 and systemic vascular resistance index, P=0.005. Heart rate (HR) was higher than in sufentanil group, P=0.025. No statistically significant differences were seen for cardiac index (CI), stroke volume index (SVI), mean pulmonary artery pressure (mPAP) or mixed venous saturation (SvO2). |