|  | 
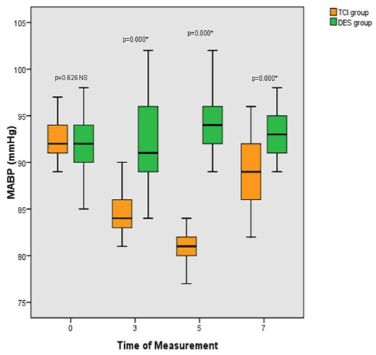
| Figure 2: Box and Whisker plot of MABP in TCI group and Des group in patients undergoing hepatic resection. Result is expressed as minimum,maximum, median (line within the box) and 25th and 75th percentiles(error bars) are shown at selected time points. TCI: Target Control popofol/Fentanyl Infusion; DES: Desflurane;T0: before induction; T3:during dissection; T5: near end of surgery; T7: 48hours postoperatively.P<0.01considered significant |