|  | 
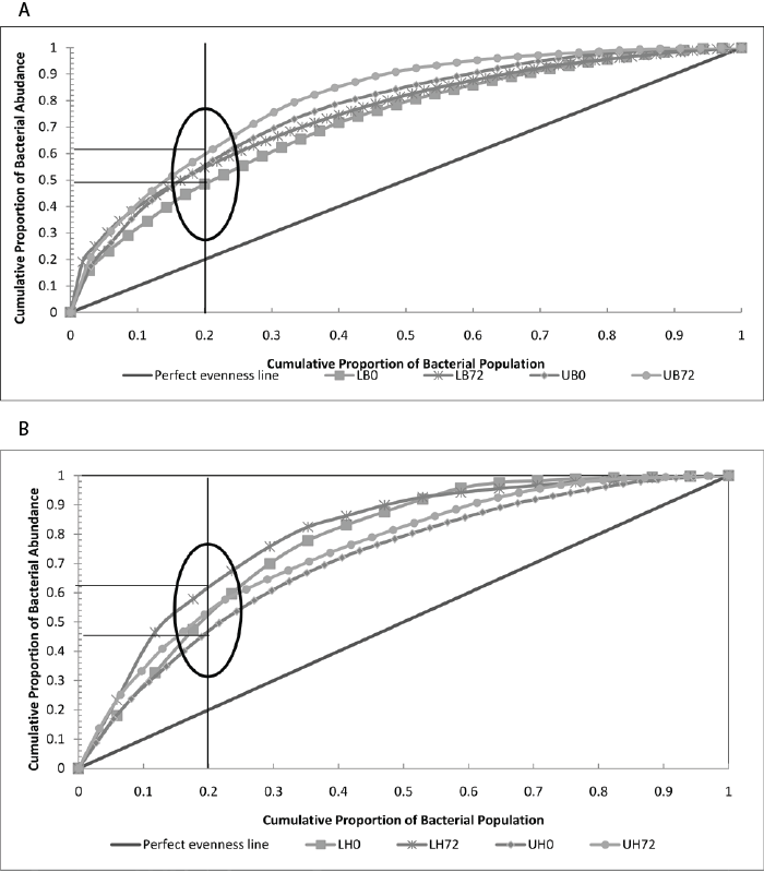
| Figure 2: A & B Pareto-Lorenz distribution curves derived from 16S rRNA DGGE profiles of (A) benzene microcosm and (B) hexadecane microcosm. The vertical line is plotted at 0.2 x-axis in order to compare different Pareto values while the 45 degree diagonal line represents the perfect evenness of a community. Only the extreme curves are shown. UB=unlabeled benzene, LB=labeled benzene, UH=unlabeled hexadecane, LH=labeled hexadecane, 0 & 72=Time in hours. |