![]() |
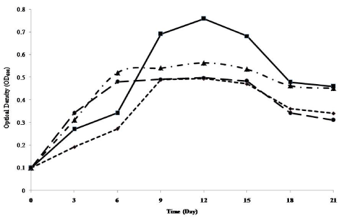
| Figure 1: Growth profile of Pseudomonas aeruginosa LP5 on mineral salts medium supplemented with various grades of engine oil (%) and inoculated at room temperature ( 29 ± 2°C) for 21 day. Fresh SAE 40(■); Used SAE 40 (♦); Fresh SAE 20w 50(▲); Used SAE 20w 50(●).Data points represent the mean of three replicate flask and error bars that represent standard deviation were removed for clarity. |