|  | 
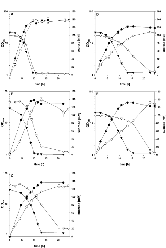
| Figure 1: Growth (circles) and sucrose consumption (triangles) of various C. glutamicum strains. | 
| With thick juice (closed symbols) or pure sucrose (open symbols), C. glutamicum WT (A), the L-lysine producing DM1729 (B), L-glutamate producing WT (C), putrescine producing PUT21 (D) and L-arginine producing ARG1 (E) were cultivated on Cg XII minimal medium. When appropriate IPTG antibiotics or ethambutol was added. Data are means and standard deviations of three (A, D, E) or two (B, C) replicates. |