|  | 
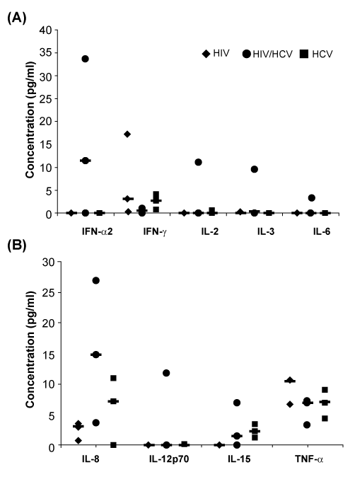
| Figure 1: Plasma concentrations of various cytokines. The individual and median concentrations of various cytokines from HIV-1 mono-infected, HIV-1/ HCV co-infected, and HCV mono-infected individuals (n=3 for each condition and are represented by diamond, circle and square symbols, respectively). The median value is represented by a bar. |