![]() |
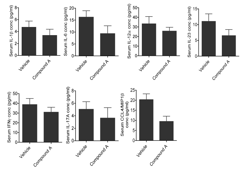
| Figure 6: CRTH2 inhibitor demonstrated a trend in reducing the serum
proinflammatory cytokines/chemokine. Individual mouse serum was prepared
at the study termination described in Figure 4. Cytokines/chemokine were
detected by Milliplex kit or Elisa kit according to manufactures’ instructions. Results are representative of at least 3 studies, for experiments shown 8-10 mice were used per treatment group. |