![]() |
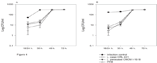
| Figure 4: Effects of intraperitoneal infection. In vivo effects of BALB/c mice stimulated with L. casei CRL 431 () and L. paracasei CNCM I-1518 ( ) by 7 consecutive days of administration and probiotic fermented milk ( ) by 5 consecutive days of administration and intraperitoneal infection control (). Colony counts are expressed as log10 numbers of bacteria per milliliters of homogenized. (A) CFU/ml Spleen. (B) CFU/ml Liver. The error bars indicate standard deviations for 3 independent determinations per mouse. |