![]() |
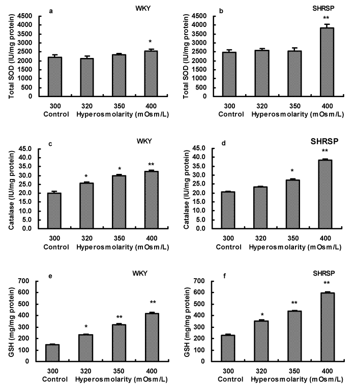
| Figure 6: Myocardial antioxidants at the end of ischemia/reperfusion with and without hyperosmotic perfusion. Hyperosmotic NaCl increased myocardial antioxidants dose-dependently in normotensive Wistar-Kyoto rats (WKY) and stroke-prone spontaneously hypertensive rats (SHRSP). SOD, superoxide dismutase; GSH, glutathione. n=7-10. *P<0.05, **P<0.01 versus respective controls. |