|  | 
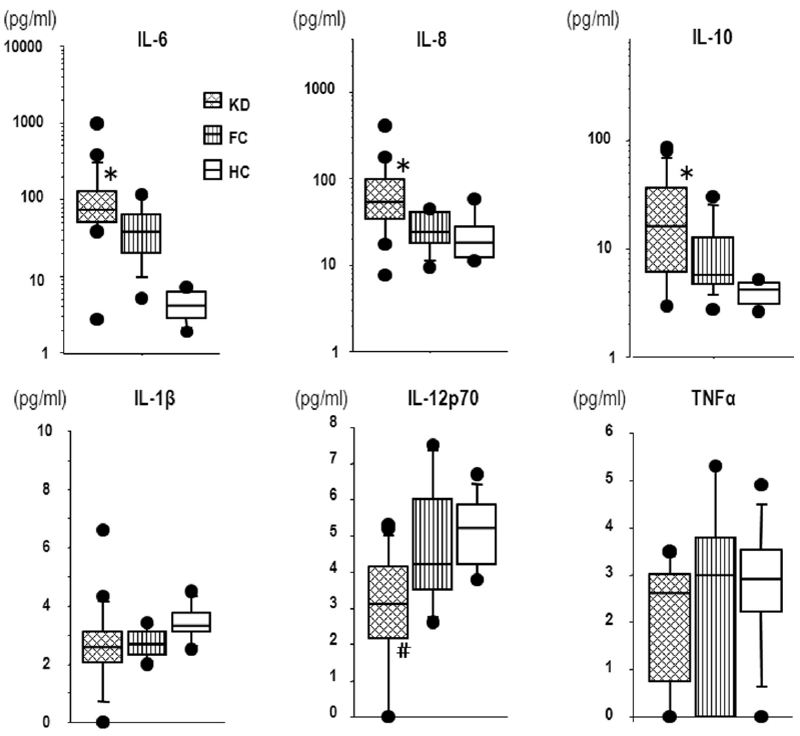
| Figure 4: Comparison of inflammatory cytokines among 3 groups. Patients with Kawasaki disease showed significantly higher IL-6 (p<0.0001), IL-8 (p=0.0024), and IL-10 (p=0.0025), but significantly lower IL12-p70 (p=0.0035) than febrile and healthy controls. There was no significant difference in IL-1β and tumor necrosis factor-α among the groups. *, significantly higher than controls; #, significantly lower than controls. |