![]() |
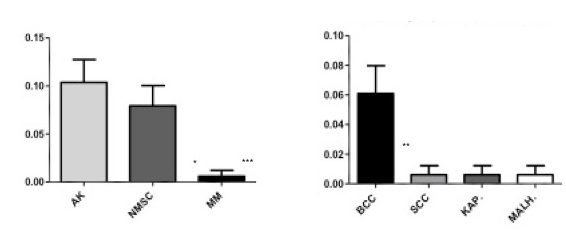
| Figure 4: a) neoplastic complications occurred in transplant patients undergoing mycophenolate mofetil therapy during seven years follow-up; AK was the most common (***p<0.0001), followed by NMSC (*p<0.05); b) NMSC occurred in transplanted patients undergoing mycophenolate mofetil therapy during seven years follow-up: BCC was the most frequent NMSC (**p<0.001). (KAP) Kaposi’s sarcoma; (MALH) Malherbe’s epithelioma. |