![]() |
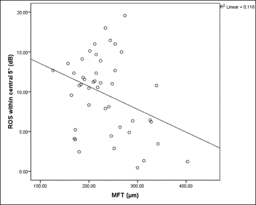
| Figure 3: The relationship between mean foveal thickness and retinotopic ocular sensitivity within the central 5° of the retina, including fixation, in subjects with neovascular age-related macular degeneration. MFT: Mean Foveal Thickness; Db: Decibels; ROS: Retinotopic Ocular Sensitivity |