|  | 
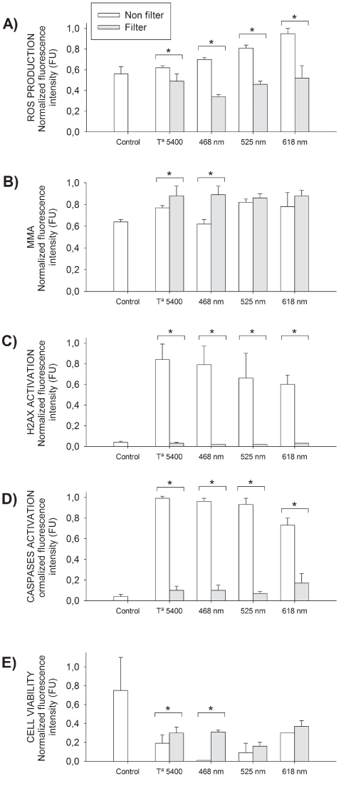
| Figure 2: Photoprotective effects of blue light absorbing filter on human RPE cells in vitro. HRPEpiC cells were exposed to white (Ta5400°K), blue (468 nm), green (525 nm) and red (616 nm) LED lighting (irradiated cells) in the presence or not of a blue light absorbing filter for 3 light-darkness cycles (12 hours/12 hours). Control groups consisted of RPE cells kept in darkness. The graph displays mean normalized fluorescence intensity radios of protected cells versus non protected cells. Bars represent mean ± SD from n=3-5 experiments. (A) ROS production determined by the H2DCFDA staining. (B) Mitochondrial membrane potential determined by the TMRM staining. (C) DNA damage determined by the activation of H2AX histone. (D) Apoptosis determined by the activation of caspase-3. (E) Cellular viability of HRPEpic cells determined by labeling all nuclei with DAPI. *p<0.05, t-student test. |