![]() |
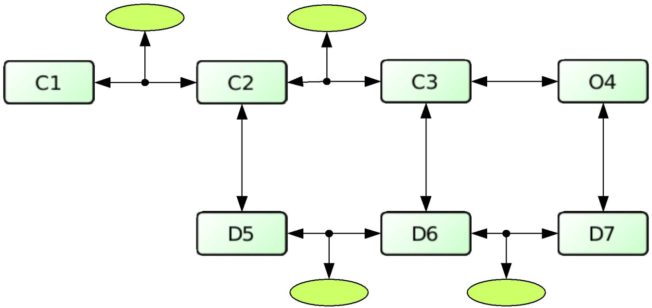
| Figure 3: Kinetic scheme of the AMPA7/NMDA7 model depending to the set of parameters. The rectangles represent the different state variables. The green ovals named Glu represent the input of the model and the location with where it interacts in the model. |