|  | 
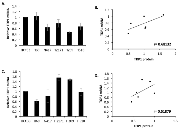
| Figure 2: Small cell lung cancer cell lines display good correlation between TDP1 or TOP1 protein level and mRNA. cDNA from each of the SCLC lines was generated from 1 μg purified mRNA using the Superscript First Strand RT-PCR and real time PCR analysis was conducted using TDP1 primers (A) or TOP1 primers (C) and an MX3005p qPCR system. The relative quantity of mRNA (RQ value) for each repeat experiment was calculated according to the equation RQ = 2ΔΔCT and the RQ values normalised to that obtained for the HCC33 cell line. The average of normalised RQ values from 3 independent experiments ± STD is depicted (A&C). A graphical representation of the Pearson’s correlation coefficient (r) between SCLC TDP1 protein levels and TDP1 mRNA is shown in (B) and that for SCLC TOP1 protein level and TOP1 mRNA is shown in (D). |