![]() |
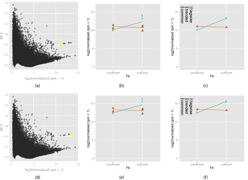
| Figure 4: Illustration of linking plots to examine mean-variance relationships and gene expression for genes in a strange cluster. Two points are identi_ed in a group of outliers. Clearly they all have similar expression patterns, so do other points in that group, where one replicate has an unusually low expression value. Later investigation revealed that these genes are repetitive elements of the soybean genome, and this may have caused some counting problems. In the interaction plots, the green color represents RPA and the orange color represents EV. |