![]() |
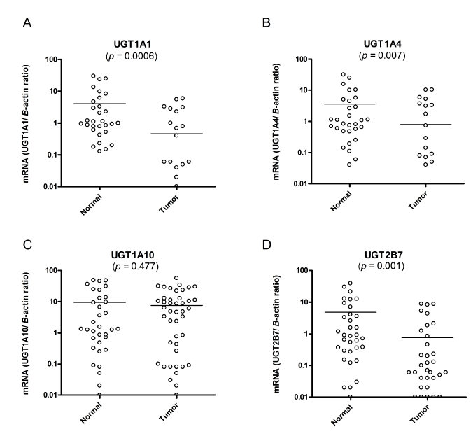
| Figure 1: mRNA expression of UGTs in human breast samples relative to B-actin. Quantitative real-time PCR analysis of UGT1A1, UGT1A4, UGT1A10, and UGT2B7 mRNA expression in normal and tumor breast tissues. Solid horizontal lines demonstrate the mean with the 95% CI of each individual group. All data are shown as the ratio between the UGT target gene and B-actin internal control on a logarithmic scale. p -value, nonparametric, Mann-Whitney tests. *p< 0.05, **p <0.01 is statistically significant. |