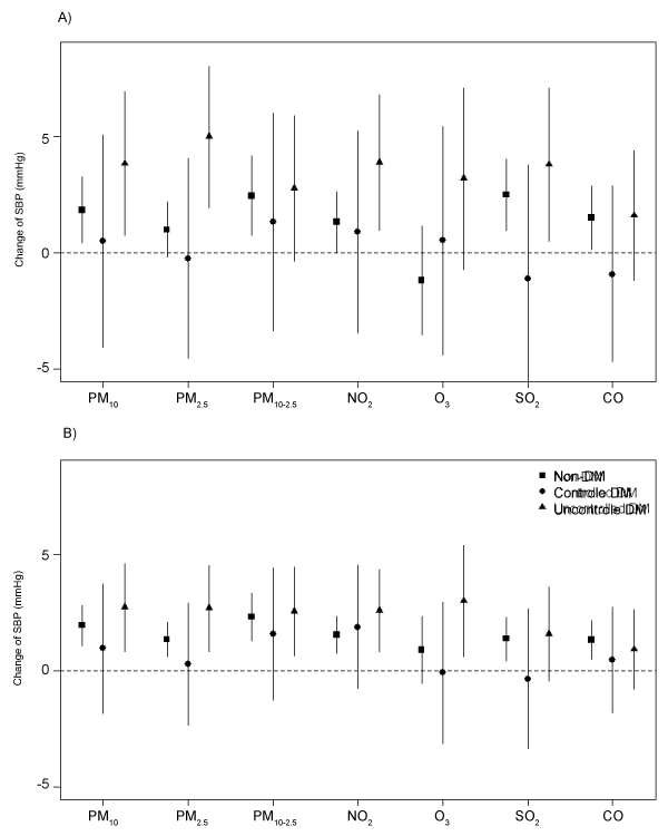
|  Abbreviations: PM10: Particulate Matter <10 μm in diameter; PM2.5: Particulate Matter<2.5 μm in diameter; IQR: Interquartile Range; NO2: Nitrogen Dioxide; SO2:
      Sulfur Dioxide; O3: Ozone; CO: Carbon Monoxide; DM: Diabetes Mellitus defined as a self-reported history of doctor-diagnosed disease or glucose ≥ 126 mg/dL (7.0
      mmol/L). Uncontrolled DM was defined based on glucose level (≥ 110 mg/dL) among DM; otherwise, controlled DM. Models were adjusted for age; sex; exercise level; regular alcohol consumption; body mass index; history of hypertension; smoking status, based on cotinine level; education; follow-up time; daily mean temperature; relative humidity; sea-level pressure; and season. IQR values for pollutants: PM10 (21.2 μg/m3), PM2.5 (9.5 μg/m3), PM10-2.5 (13.6 μg/m3), NO2 (9.0 ppb), O3 (16.4 ppb), SO2 (1.7 ppb), and CO (0.16 ppm). | 
| Figure 1: Blood pressure changes associated with IQR increases in air pollution concentrations among non-DM (squares), controlled DM (circles), and uncontrolled DM (triangles) participants: (a) systolic blood pressure (SBP, mmHg) and (b) diastolic blood pressure (DBP, mmHg) changes. |