| Features |
Doxorubicin |
Epirubicin |
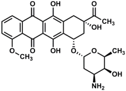
Daunorubicin |
| Chemical structure |
 |
 |
|
| Physical property [8] |
log Kow: 1.3, solubility: 93 mg/L |
log Kow: 1.8, solubility: 93 mg/L |
log Kow: 1.8, solubility: 39 mg/L |
| Environmental occurrence [68] |
hospital effluent: 0.5 µg/L |
hospital effluent: 0.5 µg/L |
hospital effluent: 0.1 µg/L |
| Ecotoxicology [17] |
EC50 > 0.1 mg/L in various assays |
--- |
--- |
| Treatment strategy [32, 41, 69] |
membrane bioreactor, 5.25% NaOCl, electrolysis |
membrane bioreactor, 5.25% NaOCl |
membrane bioreactor, 5.25% NaOCl |