![]() |
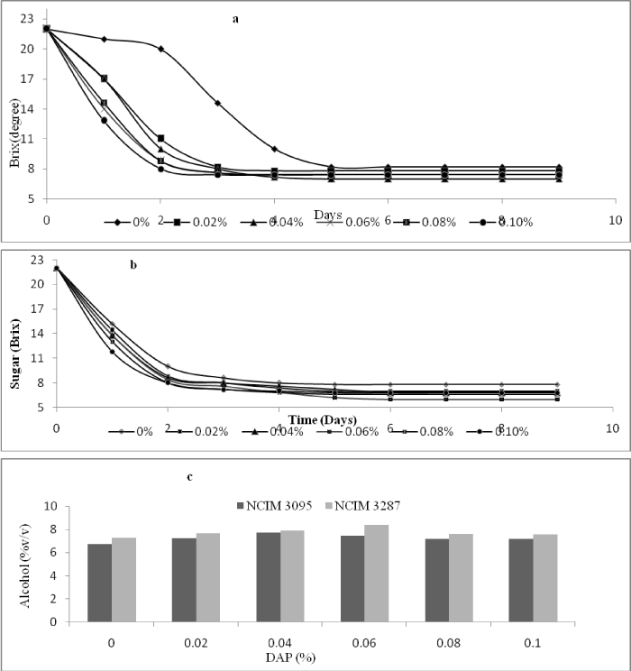
| Figure 6: Decrease in sugar level (TSS) with fermentation time for guava wine production at different concentration of DAP for fermentation with (a) Saccharomyces cerevisiae NCIM 3095 and (b) Saccharomyces cerevisiae NCIM 3287.Comparison of alcohol production with varying DAP(%) for (c) Saccharomyces cerevisiae NCIM 3095 and NCIM 3287 for guava wine production. |