![]() |
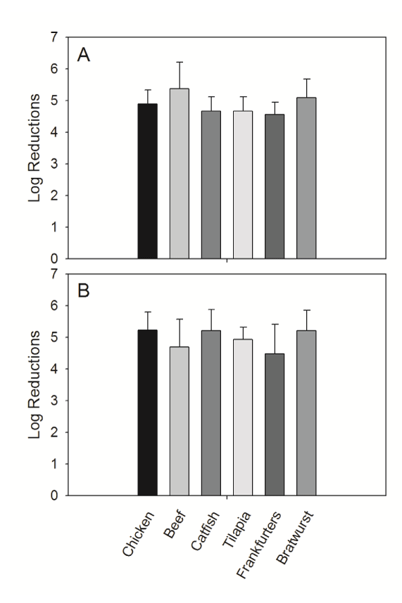
| Figure 1: Inactivation of F. tularensis Utah-112 in food exudates inoculated onto: A) stainless steel; and B) polypropylene by ultraviolet light (UV-C). The UV-C dose was 0.5 J/cm2. Each experiment was conducted independently 3 times. Standard error of the mean is shown as error bars. There was no difference in the mean log reductions as determined by ANOVA (n=3, p>0.05). |