![]() |
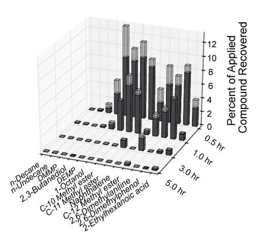
| Figure 5: Profiles of compounds dissipating from Teflon at various postapplication times up to 5.0 hr. Compounds observed in higher quantities in the 0.5 hr sample, as well as the highest three levels in the 1.0 hr sampling, exceed the maximum linear calibration point; therefore, quantification may not be accurate. |