![]() |
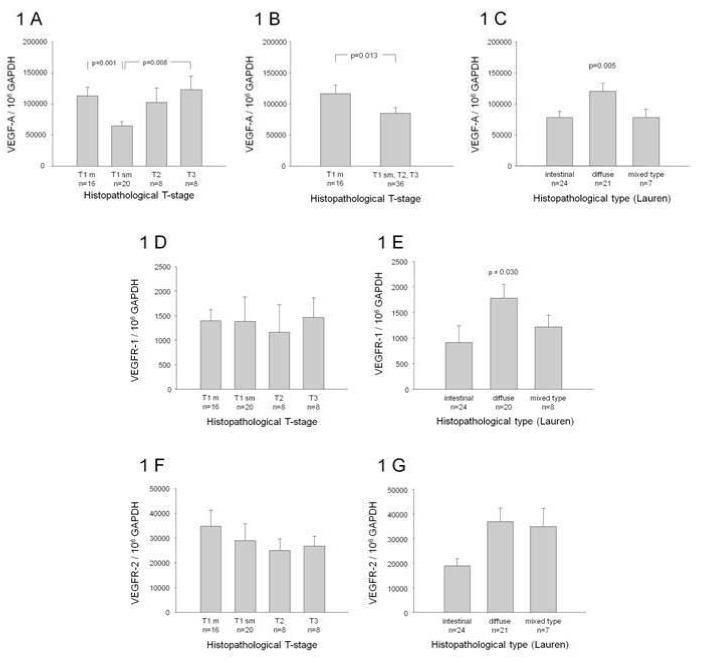
| Figure 1: Figure 1 shows VEGF-A and VEGFR-1 and -2 mRNA expression levels in different stages and histological types of gastric adenocarcinoma. Copy numbers for each sample were normalized to 106 GAPDH copies. Fig. 1A shows the relative VEGF-A expression in different T-stages. VEGF-A expression was found to be significantly reduced in T1 sm carcinomas. In T1 m carcinomas VEGF-A expression was significantly higher than in the more advanced stages of gastric cancer (p=0.013; Fig. 1B). Fig. 1C shows the relative VEGF-A expression in different histological types according to Laurenās classification. VEGF-A mRNA expression was significantly elevated in diffuse type of cancer (p=0.005). Fig. 1D and E show the relative VEGFR-1 mRNA expression. There was no significant difference between the different T-stages (Fig. 1D). VEGFR-1 expression was found to be higher in diffuse type of gastric cancer (p=0.030; Fig. 1E). Fig. 1F and G illustrate the relative VEGFR-2 mRNA expression. There was no significant difference between the different T-stages (Fig. 1F). VEGFR-1 expression was found to be elevated in diffuse type of gastric cancer (p=0.017; Fig. 1G). |