![]() |
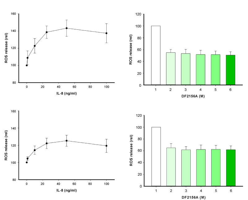
| Figure 1: Allosteric CXCR1/2 inhibition impairs the IL-8-induced ROS release from neutrophils A. Isolated human neutrophils were incubated with increasing doses of IL-8 and ROS release (in relation to unstimulated cells) was assessed by chemiluminescence. While IL-8 at concentrations of 1 ng/ml and 10 ng/ml had no significant impact on ROS release, addition of 25 ng/ml, 50 ng/ml or 100 ng/ml significantly increased the ROS release, which reached its maximum at 50 ng/ml. Data is based on 6 samples/group. B. Similar findings were obtained when neutrophils were concurrently stimulated with immune complexes of COL7 and monoclonal COL7 antibodies. Data is based on 6 samples/group. C. In the presence of DF2156A within the indicated dose-range, IL-8 (25 ng/ml)-induced ROS release was reduced to approximately 50% of ROS release from neutrophils treated with vehicle. Data is based on 5 samples/group. D. Compared to control, DF2156A treatment reduces ROS release to 60% in neutrophils stimulated with IL-8 (25 ng/ml) and immune complexes. Data is based on 5 samples/group. *indicates statistic significance (ANOVA followed by Bonferroni t-test for multiple comparisons to control). |