![]() |
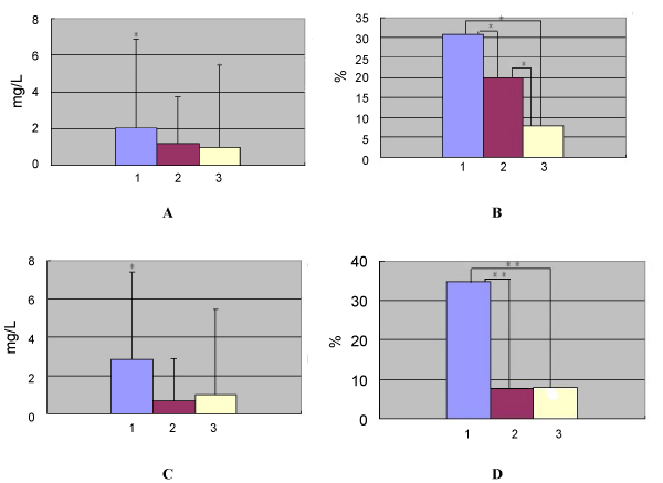
| Figure 2: Mean level and positive rate of serum ß2-microglobulin in female patients with breast cancer and breast benign tumor, patients with thyroid cancer and thyroid benign tumor. A. mean level of serum ß2-microglobulin in patients with breast cancer.1.female patients with breast cancer, 2. female patients with breast benign tumor ,3. contorls. B. positive rate of serum ß2- microglobuli in patients with breast cancer. 1.female patients with breast cancer, 2. female patients with breast benign tumor ,3. contorls. VI p<0.05. C. Mean level of serum ß2-microglobulin in patients with thyroid cancer . 1.patients with thyroid cancer, 2. patients with thyroid benign tumor ,3. contorls,VI p<0.05, .D.positive rate of serum ß2-microglobulin in patients with with thyroid cancer , 1.patients with thyroid cancer, 2. patients with thyroid benign tumor ,3. contorls, VI p<0.01. |