![]() |
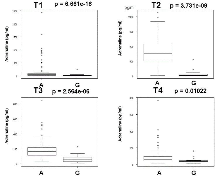
| Figure 1: Comparison of plasma levels of adrenaline between awake craniotomy and craniotomy under general anesthesia Plasma levels of adrenaline in awake craniotomy and craniotomy under general anesthesia were compared using the Wilcoxon rank-sum test. A, awake craniotomy; G, craniotomy under general anesthesia. Sampling times were as follows: T1, immediately after arterial line insertion; T2, immediately after head fixation in head frame; T3, 1 h after start of incision; T4, immediately after relief of head fixation. In T1 to T4, plasma levels of adrenaline were significantly higher in awake craniotomy than in craniotomy under general anesthesia(P<0.05). |