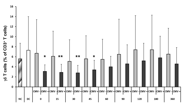
|  Significant difference in γδ T cell percentages between CMV-act and CMV-neg patients was observed in the first 45 days after RT. Mean ± SD; * p<0.05, ** p<0.01
      versus CMV-neg The percentage of γδ T cells in the CMV-act group increased over time, with values significantly higher at the later observation times compared with earlier ones (p<0.05 day 90 versus day 15; p=0.02 day 120 and 180 versus day 15; p<0.05 day 180 versus day 30). | 
| Figure 2: Percentages of γδ T cells in CMV-act (CMV +) and in CMV-neg (CMV -) patients in the first year after renal transplantion (RT), in normal controls (NC) and chronic dialyzed patients (DC). |