![]() |
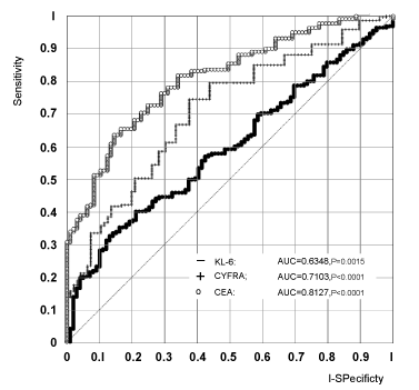
| Figure 3: Receiver operating characteristic curves of KL-6, CYFRA, and CEA. The solid blackline indicates the ROC curve of KL-6, the plus symbol indicates CYFRA, and open circles indicate CEA. The area under the curve of KL-6 was the lowest among these 3 tumour markers. |