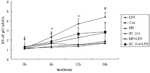
NF-κB p65 mRNA
Figure 3: NF-κB p65 mRNA expression in HK-2 cells at 0, 4, 12 and 24 h. Cells were incubated with LPS (◆), MP (▲), SC514 (*), MP+LPS (●), SC-514+MP (■). *P<0.05 compared to control, MP and SC-514 treated cells, *P<0.01 compared to MP+LPS and SC-514+LPS treated cells. #P<0.05 compared to control, MP, SC-514, MP+LPS and SC-514+LPS treated cells.