![]() |
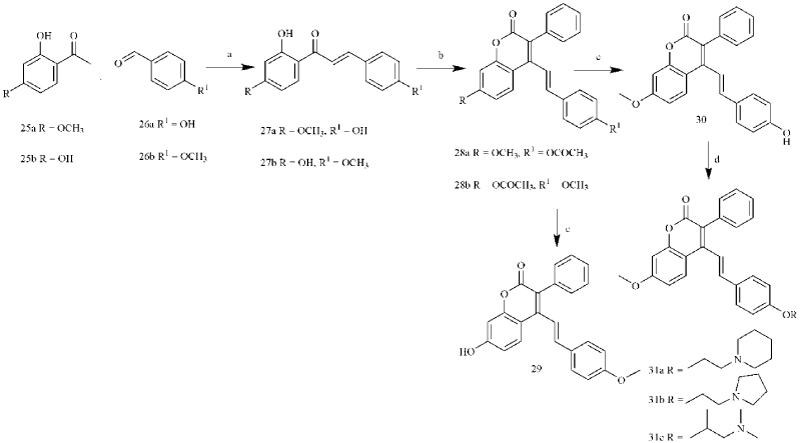
| Scheme 3: Synthesis of conformationally restricted chalcone analogues [17]. Reagents and conditions: (a) piperidine, dry benzene, reflux; (b) phenylacetic acid, Et3N, acetic anhydride, reflux; (c) 2% NaOH/MeOH, r.t.; (d) 2-chloroethyl alkyl amines hydrochlorides, anhy. K2CO3, dry acetone, reflux. |