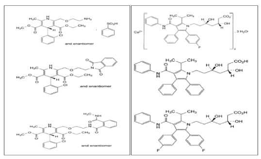
![]() |
| Figure 1: Structures of Amlodipine Besylate, Amlodipine impurity A,
Amlodipine impurity B, Atorvastatin Calcium, Atorvastatin impurity A and
Atorvastatin impurity C respectively Amlodipine impurity A is 3-ethyl 5-methyl (4RS)-4-(2-chlorophenyl)-2- [[2-(1,3-dioxo-1,3-dihydro-2H-isoindol-2-yl)ethoxy]methyl]-6-methyl-1,4- dihydropyridine-3,5-dicarboxylate Amlodipine impurity B is 3-ethyl 5-methyl (4RS)-4-(2-chlorophenyl)- 6-methyl-2-[[2- [[2-(methylcarbamoyl)benzoyl]amino]ethoxy]methyl]-1,4- dihydropyridine-3,5-dicarboxylate Atorvastatin impurity A is (3R, 5R) - 3, 5-dihydroxy -7-[5-(1-methylethyl)-2, 3-diphenyl-4-(phenyl carbamoyl)-1H-pyrrol-1-yl] - heptanoic acid (desfluoroatorvastatin). Atorvastatin impurity C is (3R, 5R) -7-[2, 3-bis (4-fluorophenyl) -5-(1-methylethyl) -4-(phenyl carbamoyl)-1H-pyrrol-1-yl] - 3, 5-dihydroxy heptanoic acid (fluoroatorvastatin). |