temperature
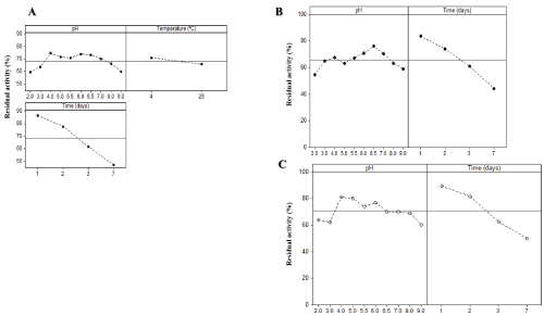
Figure 3: Main effects of pH, temperature and time on enterocin CRL 1826 stability during storage (a) Global position; (b) 4°C; (c) 25°C. Similar letters indicates no significant differences (P≤0.05) by using Kruskal Wallis test between initial and final points.