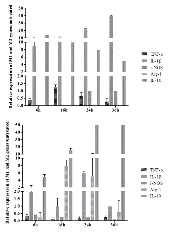
Figure 1: Relative expression of M1 (TNF-α, IL-1β, iNOS) and M2 (Arg-1, IL-10) specific genes following LPS (A), IL-4 (B) stimulation for 6, 16, 24 and 36 hours post stimulation.