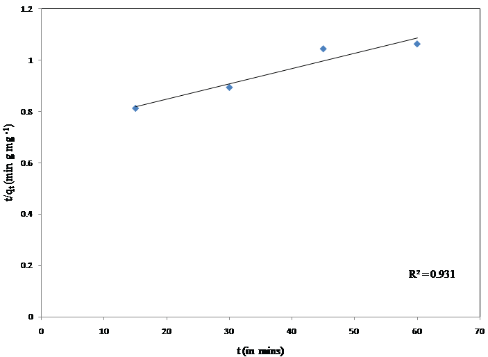
pseudo
Figure 4: Graphs showing t/qt vs t plot for pseudo second order kinetics at 303 K.