Richardson
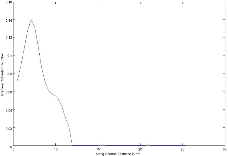
Figure 8: Gradient Richardson number variation along the channel.