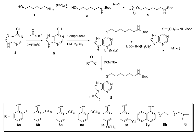
Scheme 1: Synthesis of 9-substituted tert-butyl 6-(9H-purin-6-ylthio) hexylcarbamate derivatives.