![]() |
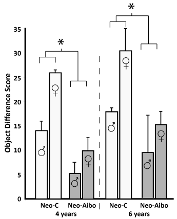
| Figure 2: Object difference scores in male and females with neonatal amygdala lesions (Neo-Aibo) and sham-operated controls (Neo-C) at the two ages tested. Object difference score measures how often an animal chooses an object paired with a devalued food item during the satiation probe session as compared to baseline session. Vertical bars provide SEM values and * indicates p < 0.05. |