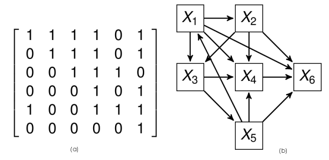
Figure 2: Relation between the derived Boolean representation of the jacobian matrix and the corresponding network topology with inter-connected nodes.