|  | 
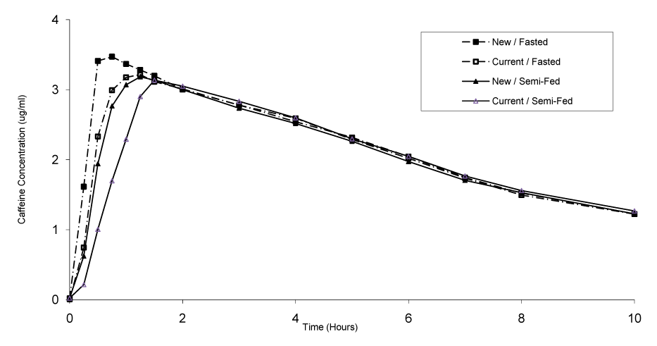
| Figure 2: Mean plasma caffeine concentrations after single dose oral administration of 1000mg paracetamol + 130mg caffeine from PANADOL® EXTRA ADVANCE (New) and PANADOL EXTRA® (Current) to 30 healthy human subjects under fasted and semi fed conditions. |