|  | 
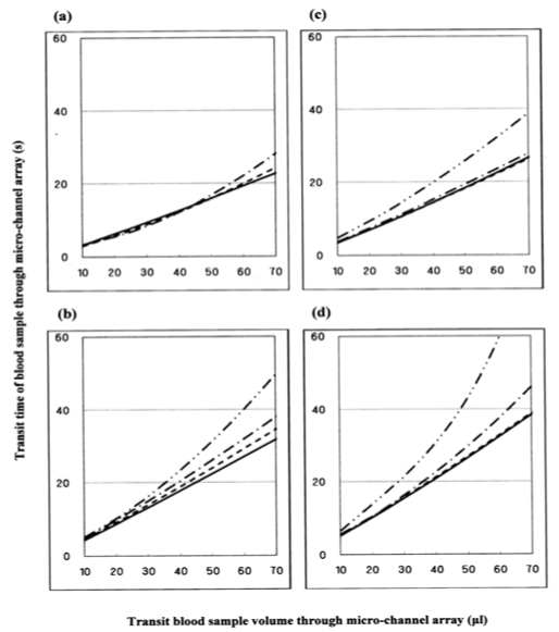
| Figure 11: Representative examples (n = 4) of blood fluidity measured in terms of transit time against transit sample volume, redrawn from Sugawara et al. [33]. Solid lines represent the temperature-untreated control; broken lines represent samples treated at 37°C; one-point lines represent samples treated at 42°C; two-point lines represent samples treated at 45°C. |