image
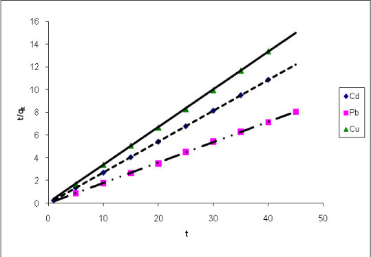
Figure 6: Pseudo second-order kinetic plot for the adsorption of Pb(II), Cd(II) and Cu(II) on raw wheat straw. (metal concentration: 50 mg/L; dose 0.4g/50mL for Pb(II), 0.6 g/50mL for Cd(II) and Cu(II); contact time: 20 min for Pb(II), 10 min for Cd(II), 25 min for Cu(II); temperature: 303 K).
Goto home»