image
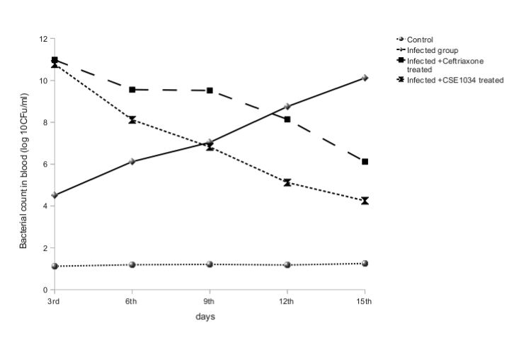
Figure 8: Status of bacterial count in the blood of K. Pneumoniae (1x 106CFU/ml) group and drug treated group at different days for 15 days treatment. All results were mean ± SD of eight animals. Tukey’s post test was analyzed statical significant between contro group vs infected group and infected group vs drug treated group. After treatment with respective drugs, a significant reduction of bacterial count was found in the blood of CSE1034 as compared to ceftirriaxone alone treatment.
Goto home»