Protein
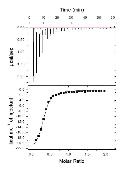
Figure 2: An example of ITC experimental data. Isothermogram representing the interaction of heparin (1 mM) and the human fibroblast growth factor-1 (hFGF-1). Upper panel represents the raw data and the lower panel is the best-fit of the raw data after subtracting the heat of dilution from appropriate buffer blank. Solid line in the lower panel represents the bestfit of the raw data. Heparin interaction with hFGF-1 best-fits to the one-set of sites binding model. Apparent Kd of hFGF-1 to heparin was found to be ~3.8µM. Titrations were carried out at 25°C in 10 mM sodium phosphate buffer (pH 7.2) containing 100 mM NaCl.
Goto home»