|  | 
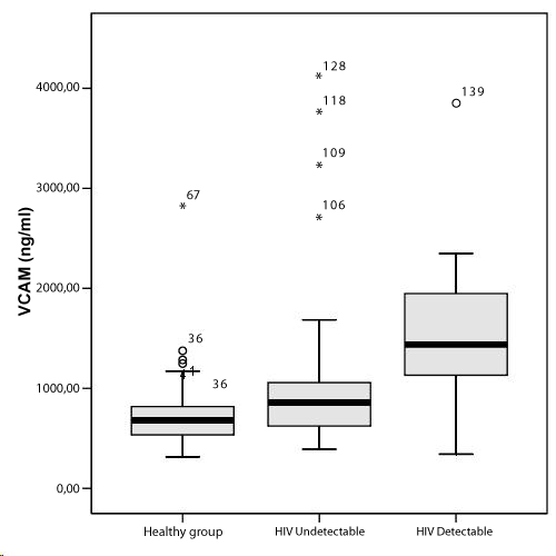
| Figure 1: VCAM levels in healthy group and HIV infected patients with detectable and undetectable viral load. p=0.015 when comparing healthy group with HIV undetectable group, p<0.001 when comparing healthy group with HIV detectable group, p=0.004 when comparing HIV undetectable with detectable group. |