image
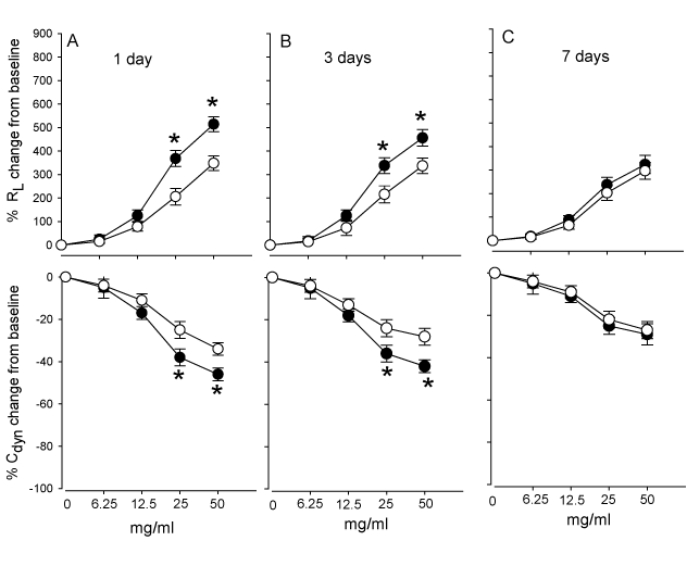
Figure 1: MCh dose responses of RL and Cdyn at 1 day (A), 3 days (B) and 7 days (C) after either 10 days SS or FA exposure during early postnatal periods. Data are means ± SE of 6 mice in each group.
* Significant difference comparing corresponding data between FA and SS animals, P ≤ 0.05.
Goto home»